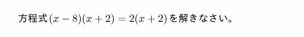
2016年愛知県A第1問(6)

【問題】
2016年愛知県Aグループ公立高校入試第1問(6)

【解説動画講義】

このページの学習内容でわからないところがある方

必要事項を記入して送信してください。名前,メールアドレス,質問内容が公開されることはありません。